(a^{b}=c) (Leftrightarrow) (log_{a}{c}=b)
Объясним проще. Например, (log_{2}{8}) равен степени, в которую надо возвести (2), чтоб получить (8). Отсюда понятно, что (log_{2}{8}=3).
|
Примеры: |
(log_{5}{25}=2) |
т.к. (5^{2}=25) |
||
|
(log_{3}{81}=4) |
т.к. (3^{4}=81) |
|||
|
(log_{2})(frac{1}{32}) |
т.к. (2^{-5}=)(frac{1}{32}) |
Аргумент и основание логарифма
Любой логарифм имеет следующую «анатомию»:
Аргумент логарифма обычно пишется на его уровне, а основание — подстрочным шрифтом ближе к знаку логарифма. А читается эта запись так: «логарифм двадцати пяти по основанию пять».
Как вычислить логарифм?
Чтобы вычислить логарифм — нужно ответить на вопрос: в какую степень следует возвести основание, чтобы получить аргумент?
Например
, вычислите логарифм: а) (log_{4}{16}) б) (log_{3})(frac{1}{3})
в) (log_{sqrt{5}}{1}) г) (log_{sqrt{7}}{sqrt{7}}) д) (log_{3}{sqrt{3}})
а) В какую степень надо возвести (4), чтобы получить (16)? Очевидно во вторую. Поэтому:
(log_{4}{16}=2)
(log_{3})(frac{1}{3})
(=-1)
в) В какую степень надо возвести (sqrt{5}), чтобы получить (1)? А какая степень делает любое число единицей? Ноль, конечно!
(log_{sqrt{5}}{1}=0)
г) В какую степень надо возвести (sqrt{7}), чтобы получить (sqrt{7})? В первую – любое число в первой степени равно самому себе.
(log_{sqrt{7}}{sqrt{7}}=1)
д) В какую степень надо возвести (3), чтобы получить (sqrt{3})? Из мы знаем, что – это дробная степень, и значит квадратный корень — это степень (frac{1}{2})
.
(log_{3}{sqrt{3}}=)(frac{1}{2})
Пример
: Вычислить логарифм (log_{4sqrt{2}}{8})
Решение
:
|
(log_{4sqrt{2}}{8}=x) |
Нам надо найти значение логарифма, обозначим его за икс. Теперь воспользуемся определением логарифма: |
|
|
((4sqrt{2})^{x}=8) |
Что связывает (4sqrt{2}) и (8)? Двойка, потому что и то, и другое число можно представить двойки: |
|
|
({(2^{2}cdot2^{frac{1}{2}})}^{x}=2^{3}) |
Слева воспользуемся свойствами степени: (a^{m}cdot a^{n}=a^{m+n}) и ((a^{m})^{n}=a^{mcdot n}) |
|
|
(2^{frac{5}{2}x}=2^{3}) |
Основания равны, переходим к равенству показателей |
|
|
(frac{5x}{2}) |
Умножим обе части уравнения на (frac{2}{5}) |
|
|
Получившийся корень и есть значение логарифма |
Ответ
: (log_{4sqrt{2}}{8}=1,2)
Зачем придумали логарифм?
Чтобы это понять, давайте решим уравнение: (3^{x}=9). Просто подберите (x), чтобы равенство сработало. Конечно, (x=2).
А теперь решите уравнение: (3^{x}=8).Чему равен икс? Вот в том-то и дело.
Самые догадливые скажут: «икс чуть меньше двух». А как точно записать это число? Для ответа на этот вопрос и придумали логарифм. Благодаря ему, ответ здесь можно записать как (x=log_{3}{8}).
Хочу подчеркнуть, что (log_{3}{8}), как и любой логарифм — это просто число
. Да, выглядит непривычно, но зато коротко. Потому что, если бы мы захотели записать его в виде десятичной дроби, то оно выглядело бы вот так: (1,892789260714…..)
Пример
: Решите уравнение (4^{5x-4}=10)
Решение
:
|
(4^{5x-4}=10) |
(4^{5x-4}) и (10) никак к одному основанию не привести. Значит тут не обойтись без логарифма. Воспользуемся определением логарифма: |
|
|
(log_{4}{10}=5x-4) |
Зеркально перевернем уравнение, чтобы икс был слева |
|
|
(5x-4=log_{4}{10}) |
Перед нами . Перенесем (4) вправо. И не пугайтесь логарифма, относитесь к нему как к обычному числу. |
|
|
(5x=log_{4}{10}+4) |
Поделим уравнение на 5 |
|
|
(x=)(frac{log_{4}{10}+4}{5}) |
Вот наш корень. Да, выглядит непривычно, но ответ не выбирают. |
Ответ
: (frac{log_{4}{10}+4}{5})
Десятичный и натуральный логарифмы
Как указано в определении логарифма, его основанием может быть любое положительное число, кроме единицы ((a>0, aneq1)). И среди всех возможных оснований есть два встречающихся настолько часто, что для логарифмов с ними придумали особую короткую запись:
Натуральный логарифм: логарифм, у которого основание — число Эйлера (e) (равное примерно (2,7182818…)), и записывается такой логарифм как (ln{a}).
То есть, (ln{a}) это то же самое, что и (log_{e}{a})
Десятичный логарифм: логарифм, у которого основание равно 10, записывается (lg{a}).
То есть, (lg{a}) это то же самое, что и (log_{10}{a})
, где (a) — некоторое число.
Основное логарифмическое тождество
У логарифмов есть множество свойств. Одно из них носит название «Основное логарифмическое тождество» и выглядит вот так:
Это свойство вытекает напрямую из определения. Посмотрим как именно эта формула появилась.
Вспомним краткую запись определения логарифма:
если (a^{b}=c), то (log_{a}{c}=b)
То есть, (b) – это тоже самое, что (log_{a}{c}). Тогда мы можем в формуле (a^{b}=c) написать (log_{a}{c}) вместо (b). Получилось (a^{log_{a}{c}}=c) – основное логарифмическое тождество.
Остальные свойства логарифмов вы можете найти . С их помощью можно упрощать и вычислять значения выражений с логарифмами, которые «в лоб» посчитать сложно.
Пример
: Найдите значение выражения (36^{log_{6}{5}})
Решение
:
Ответ
: (25)
Как число записать в виде логарифма?
Как уже было сказано выше – любой логарифм это просто число. Верно и обратное: любое число может быть записано как логарифм. Например, мы знаем, что (log_{2}{4}) равен двум. Тогда можно вместо двойки писать (log_{2}{4}).
Но (log_{3}{9}) тоже равен (2), значит, также можно записать (2=log_{3}{9}) . Аналогично и с (log_{5}{25}), и с (log_{9}{81}), и т.д. То есть, получается
(2=log_{2}{4}=log_{3}{9}=log_{4}{16}=log_{5}{25}=log_{6}{36}=log_{7}{49}…)
Таким образом, если нам нужно, мы можем где угодно (хоть в уравнении, хоть в выражении, хоть в неравенстве) записывать двойку как логарифм с любым основанием – просто в качестве аргумента пишем основание в квадрате.
Точно также и с тройкой – ее можно записать как (log_{2}{8}), или как (log_{3}{27}), или как (log_{4}{64})… Здесь мы как аргумент пишем основание в кубе:
(3=log_{2}{8}=log_{3}{27}=log_{4}{64}=log_{5}{125}=log_{6}{216}=log_{7}{343}…)
И с четверкой:
(4=log_{2}{16}=log_{3}{81}=log_{4}{256}=log_{5}{625}=log_{6}{1296}=log_{7}{2401}…)
И с минус единицей:
(-1=) (log_{2})(frac{1}{2})
(=) (log_{3})(frac{1}{3})
(=) (log_{4})(frac{1}{4})
(=) (log_{5})(frac{1}{5})
(=) (log_{6})(frac{1}{6})
(=) (log_{7})(frac{1}{7})
(…)
И с одной третьей:
(frac{1}{3})
(=log_{2}{sqrt{2}}=log_{3}{sqrt{3}}=log_{4}{sqrt{4}}=log_{5}{sqrt{5}}=log_{6}{sqrt{6}}=log_{7}{sqrt{7}}…)
Любое число (a) может быть представлено как логарифм с основанием (b): (a=log_{b}{b^{a}})
Пример
: Найдите значение выражения (frac{log_{2}{14}}{1+log_{2}{7}})
Решение
:
Ответ
: (1)
log a r b r =log a b
или log a b
=
log a r b r
Значение логарифма не изменится, если основание логарифма и число под знаком логарифма возвести в одну и ту же степень.
Под знаком логарифма могут находиться только положительные числа, причем, основание логарифма не равно единице.
Примеры.
1) Сравнить log 3 9 и log 9 81.
log 3 9=2, так как 3 2 =9;
log 9 81=2, так как 9 2 =81.
Значит, log 3 9=log 9 81.
Заметим, что основание второго логарифма равно квадрату основания первого логарифма: 9=3 2 , а число под знаком второго логарифма равно квадрату числа под знаком первого логарифма: 81=9 2 . Получается, что и число и основание первого логарифма log 3 9 были возведены во вторую степень, и значение логарифма от этого не изменилось:
Далее, так как извлечение корня n
-й степени из числа а
есть возведение числа а
в степень ( 1 / n
), то из log 9 81 можно получить log 3 9 извлечением квадратного корня из числа и из основания логарифма:
2) Проверить равенство: log 4 25=log 0,5 0,2.
Рассмотрим первый логарифм. Извлечем квадратный корень из основания 4
и из числа 25
; получаем: log 4 25=log 2 5.
Рассмотрим второй логарифм. Основание логарифма: 0,5= 1 / 2 . Число под знаком этого логарифма: 0,2= 1 / 5 . Возведем каждое из этих чисел в минус первую степень:
0,5 -1 =(1 / 2) -1 =2;
0,2 -1 =(1 / 5) -1 =5.
Таким образом, log 0,5 0,2=log 2 5. Вывод: данное равенство верно.
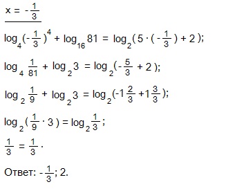
Решить уравнение:
log 4 x 4 +log 16 81=log 2 (5x+2).
Приведем логарифмы слева к основанию 2
.
log 2 x 2 +log 2 3=log 2 (5x+2). Извлекли квадратный корень из числа и из основания первого логарифма. Извлекли корень четвертой степени из числа и основания второго логарифма.
log 2 (3x 2)=log 2 (5x+2). Преобразовали сумму логарифмов в логарифм произведения.
3x 2 =5x+2. Получили после потенцирования.
3x 2 -5x-2=0. Решаем квадратное уравнение по общей формуле для полного квадратного уравнения:
a=3, b=-5, c=-2.
D=b 2 -4ac=(-5) 2 -4∙3∙(-2)=25+24=49=7 2 >0; 2 действительных корня.
Проверка.
x=2.
log 4 2 4 +log 16 81=log 2 (5∙2+2);
log 2 2 2 +log 2 3=log 2 12;
log 2 (4∙3)=log 2 12;
log 2 12=log 2 12;
log a n b
=(1/
n
)∙
log a b
Логарифм числаb
по основанию a n
равен произведению дроби 1/
n
на логарифм числа b
по основанию a
.
Найти:
1) 21log 8 3+40log 25 2; 2) 30log 32 3∙log 125 2, если известно, что log 2 3=b
, log 5 2=c.
Решение.
Решить уравнения:
1) log 2 x+log 4 x+log 16 x=5,25.
Решение.
Приведем данные логарифмы к основанию 2. Применим формулу: log a n b
=(1/
n
)∙
log a b
log 2 x+(½) log 2 x+(¼) log 2 x=5,25;
log 2 x+0,5log 2 x+0,25log 2 x=5,25. Приводим подобные слагаемые:
(1+0,5+0,25)·log 2 x=5,25;
1,75·log 2 x=5,25 |:1,75
log 2 x=3. По определению логарифма:
2) 0,5log 4 (x-2)+log 16 (x-3)=0,25.
Решение.
Логарифм по основанию 16 приведем к основанию 4.
0,5log 4 (x-2)+0,5log 4 (x-3)=0,25 |:0,5
log 4 (x-2)+log 4 (x-3)=0,5. Преобразуем сумму логарифмов в логарифм произведения.
log 4 ((x-2)(x-3))=0,5;
log 4 (x 2 -2x-3x+6)=0,5;
log 4 (x 2 -5x+6)=0,5. По определению логарифма:
x 2 -5x+4=0. По теореме Виета:
x 1 =1; x 2 =4. Первое значение х не подойдет, так как при х=1 логарифмы данного равенства не существуют, ведь под знаком логарифма могут находиться только положительные числа.
Проверим данное уравнение при х=4.
Проверка.
0,5log 4 (4-2)+log 16 (4-3)=0,25
0,5log 4 2+log 16 1=0,25
0,5∙0,5+0=0,25
log a b=log c b/log c a
Логарифм числа b
по основанию а
равен логарифму числа b
по новому основанию с
, деленному на логарифм старого основания а
по новому основанию с
.
Примеры:
1) log 2 3=lg3/lg2;
2) log 8 7=ln7/ln8.
Вычислить:
1) log 5 7
, если известно, что lg7
≈0,8451; lg5
≈0,6990.
c
b
/
log c
a
.
log 5 7=lg7/lg5≈0,8451:0,6990≈1,2090.
Ответ: log 5 7
≈1,209
0≈1,209
.
2) log
5
7
, если известно, что ln7
≈1,9459; ln5
≈1,6094.
Решение. Применяем формулу: log a
b
=log c
b
/
log c
a
.
log 5 7=ln7/ln5≈1,9459:1,6094≈1,2091.
Ответ: log 5 7
≈1,209
1≈1,209
.
Найдите х:
1) log 3 x=log 3 4+log 5 6/log 5 3+log 7 8/log 7 3.
Используем формулу: log c
b
/
log c
a
=log a
b. Получаем:
log 3 x=log 3 4+log 3 6+log 3 8;
log 3 x=log 3 (4∙6∙8);
log 3 x=log 3 192;
x=192
.
2) log 7 x=lg143-log 6 11/log 6 10-log 5 13/log 5 10
.
Используем формулу: log c
b
/
log c
a
=log a
b
. Получаем:
log 7 x=lg143-lg11-lg13;
log 7 x=lg143- (lg11+lg13);
log 7 x=lg143-lg (11∙13);
log 7 x=lg143-lg143;
x=1.
Страница 1 из 1
1
Продолжаем изучать логарифмы. В этой статье мы поговорим про вычисление логарифмов
, этот процесс называют логарифмированием
. Сначала мы разберемся с вычислением логарифмов по определению. Дальше рассмотрим, как находятся значения логарифмов с использованием их свойств. После этого остановимся на вычислении логарифмов через изначально заданные значения других логарифмов. Наконец, научимся использовать таблицы логарифмов. Вся теория снабжена примерами с подробными решениями.
Навигация по странице.
Вычисление логарифмов по определению
В простейших случаях возможно достаточно быстро и легко выполнить нахождение логарифма по определению
. Давайте подробно рассмотрим, как происходит этот процесс.
Его суть состоит в представлении числа b
в виде a c
, откуда по определению логарифма число c является значением логарифма. То есть, нахождению логарифма по определению отвечает следующая цепочка равенств: log a b=log a a c =c
.
Итак, вычисление логарифма по определению сводится к нахождению такого числа c
, что a c =b
, а само число c
есть искомое значение логарифма.
Учитывая информацию предыдущих абзацев, когда число под знаком логарифма задано некоторой степенью основания логарифма, то можно сразу указать, чему равен логарифм – он равен показателю степени. Покажем решения примеров.
Пример.
Найдите log 2 2 −3
, а также вычислите натуральный логарифм числа e 5,3
.
Решение.
Определение логарифма позволяет нам сразу сказать, что log 2 2 −3 =−3
. Действительно, число под знаком логарифма равно основанию 2
в −3
степени.
Аналогично находим второй логарифм: lne 5,3 =5,3
.
Ответ:
log 2 2 −3 =−3
и lne 5,3 =5,3
.
Если же число b
под знаком логарифма не задано как степень основания логарифма, то нужно внимательно посмотреть, нельзя ли прийти к представлению числа b
в виде a c
. Часто такое представление бывает достаточно очевидно, особенно когда число под знаком логарифма равно основанию в степени 1
, или 2
, или 3
, …
Пример.
Вычислите логарифмы log 5 25
, и .
Решение.
Несложно заметить, что 25=5 2
, это позволяет вычислять первый логарифм: log 5 25=log 5 5 2 =2
.
Переходим к вычислению второго логарифма . Число можно представить в виде степени числа 7
:
(при необходимости смотрите ). Следовательно,
.Перепишем третий логарифм в следующем виде . Теперь можно увидеть, что
, откуда заключаем, что
. Следовательно, по определению логарифма
.
Коротко решение можно было записать так: .
Ответ:
log 5 25=2
,
и
.
Когда под знаком логарифма находится достаточно большое натуральное число, то его не помешает разложить на простые множители. Это часто помогает представить такое число в виде некоторой степени основания логарифма, а значит, вычислить этот логарифм по определению.
Пример.
Найдите значение логарифма .
Решение.
Некоторые свойства логарифмов позволяют сразу указать значение логарифмов. К таким свойствам относятся свойство логарифма единицы и свойство логарифма числа, равного основанию: log 1 1=log a a 0 =0
и log a a=log a a 1 =1
. То есть, когда под знаком логарифма находится число 1
или число a
, равное основанию логарифма, то в этих случаях логарифмы равны 0
и 1
соответственно.
Пример.
Чему равны логарифмы и lg10
?
Решение.
Так как , то из определения логарифма следует
.
Во втором примере число 10
под знаком логарифма совпадает с его основанием, поэтому десятичный логарифм десяти равен единице, то есть, lg10=lg10 1 =1
.
Ответ:
И lg10=1
.
Отметим, что вычисление логарифмов по определению (которое мы разобрали в предыдущем пункте) подразумевает использование равенства log a a p =p
, которое является одним из свойств логарифмов.
На практике, когда число под знаком логарифма и основание логарифма легко представляются в виде степени некоторого числа, очень удобно использовать формулу
, которая соответствует одному из свойств логарифмов. Рассмотрим пример нахождения логарифма, иллюстрирующий использование этой формулы.
Пример.
Вычислите логарифм .
Решение.
Ответ:
.
Не упомянутые выше свойства логарифмов также используются при вычислении, но об этом поговорим в следующих пунктах.
Нахождение логарифмов через другие известные логарифмы
Информация этого пункта продолжает тему использования свойств логарифмов при их вычислении. Но здесь основное отличие состоит в том, что свойства логарифмов используются для того, чтобы выразить исходный логарифм через другой логарифм, значение которого известно. Приведем пример для пояснения. Допустим, мы знаем, что log 2 3≈1,584963
, тогда мы можем найти, например, log 2 6
, выполнив небольшое преобразование с помощью свойств логарифма: log 2 6=log 2 (2·3)=log 2 2+log 2 3≈
1+1,584963=2,584963
.
В приведенном примере нам было достаточно использовать свойство логарифма произведения. Однако намного чаще приходится применять более широкий арсенал свойств логарифмов, чтобы вычислить исходный логарифм через заданные.
Пример.
Вычислите логарифм 27
по основанию 60
, если известно, что log 60 2=a
и log 60 5=b
.
Решение.
Итак, нам нужно найти log 60 27
. Несложно заметить, что 27=3 3
, и исходный логарифм в силу свойства логарифма степени можно переписать как 3·log 60 3
.
Теперь посмотрим, как log 60 3
выразить через известные логарифмы. Свойство логарифма числа, равного основанию, позволяет записать равенство log 60 60=1
. С другой стороны log 60 60=log60(2 2 ·3·5)=
log 60 2 2 +log 60 3+log 60 5=
2·log 60 2+log 60 3+log 60 5
. Таким образом, 2·log 60 2+log 60 3+log 60 5=1
. Следовательно, log 60 3=1−2·log 60 2−log 60 5=1−2·a−b
.
Наконец, вычисляем исходный логарифм: log 60 27=3·log 60 3=
3·(1−2·a−b)=3−6·a−3·b
.
Ответ:
log 60 27=3·(1−2·a−b)=3−6·a−3·b
.
Отдельно стоит сказать о значении формулы перехода к новому основанию логарифма вида
. Она позволяет от логарифмов с любыми основаниями переходить к логарифмам с конкретным основанием, значения которых известны или есть возможность их отыскать. Обычно от исходного логарифма по формуле перехода переходят к логарифмам по одному из оснований 2
, e
или 10
, так как по этим основаниям существуют таблицы логарифмов, позволяющие с определенной степенью точности вычислять их значения. В следующем пункте мы покажем, как это делается.
Таблицы логарифмов, их использование
Для приближенного вычисления значений логарифмов могут быть использованы таблицы логарифмов
. Наиболее часто используется таблица логарифмов по основанию 2
, таблица натуральных логарифмов и таблица десятичных логарифмов. При работе в десятичной системе счисления удобно пользоваться таблицей логарифмов по основанию десять. С ее помощью и будем учиться находить значения логарифмов.
Представленная таблица позволяет с точностью до одной десятитысячной находить значения десятичных логарифмов чисел от 1,000
до 9,999
(с тремя знаками после запятой). Принцип нахождения значения логарифма с помощью таблицы десятичных логарифмов разберем на конкретном примере – так понятнее. Найдем lg1,256
.
В левом столбце таблицы десятичных логарифмов находим две первые цифры числа 1,256
, то есть, находим 1,2
(это число для наглядности обведено синей линией). Третью цифру числа 1,256
(цифру 5
) находим в первой или последней строке слева от двойной линии (это число обведено красной линией). Четвертую цифру исходного числа 1,256
(цифру 6
) находим в первой или последней строке справа от двойной линии (это число обведено зеленой линией). Теперь находим числа в ячейках таблицы логарифмов на пересечении отмеченной строки и отмеченных столбцов (эти числа выделены оранжевым цветом). Сумма отмеченных чисел дает искомое значение десятичного логарифма с точностью до четвертого знака после запятой, то есть, lg1,236≈0,0969+0,0021=0,0990
.
А можно ли, используя приведенную таблицу, находить значения десятичных логарифмов чисел, имеющих больше трех цифр после запятой, а также выходящих за пределы от 1
до 9,999
? Да, можно. Покажем, как это делается, на примере.
Вычислим lg102,76332
. Сначала нужно записать число в стандартном виде
: 102,76332=1,0276332·10 2
. После этого мантиссу следует округлить до третьего знака после запятой, имеем 1,0276332·10 2 ≈1,028·10 2
, при этом исходный десятичный логарифм приближенно равен логарифму полученного числа, то есть, принимаем lg102,76332≈lg1,028·10 2
. Теперь применяем свойства логарифма: lg1,028·10 2 =lg1,028+lg10 2 =lg1,028+2
. Наконец, находим значение логарифма lg1,028
по таблице десятичных логарифмов lg1,028≈0,0086+0,0034=0,012
. В итоге весь процесс вычисления логарифма выглядит так: lg102,76332=lg1,0276332·10 2 ≈lg1,028·10 2 =
lg1,028+lg10 2 =lg1,028+2≈0,012+2=2,012
.
В заключение стоит отметить, что используя таблицу десятичных логарифмов можно вычислить приближенное значение любого логарифма. Для этого достаточно с помощью формулы перехода перейти к десятичным логарифмам, найти их значения по таблице, и выполнить оставшиеся вычисления.
Для примера вычислим log 2 3
. По формуле перехода к новому основанию логарифма имеем . Из таблицы десятичных логарифмов находим lg3≈0,4771
и lg2≈0,3010
. Таким образом,
.
Список литературы.
- Колмогоров А.Н., Абрамов А.М., Дудницын Ю.П. и др. Алгебра и начала анализа: Учебник для 10 — 11 классов общеобразовательных учреждений.
- Гусев В.А., Мордкович А.Г. Математика (пособие для поступающих в техникумы).
Соблюдение Вашей конфиденциальности важно для нас. По этой причине, мы разработали Политику Конфиденциальности, которая описывает, как мы используем и храним Вашу информацию. Пожалуйста, ознакомьтесь с нашими правилами соблюдения конфиденциальности и сообщите нам, если у вас возникнут какие-либо вопросы.
Сбор и использование персональной информации
Под персональной информацией понимаются данные, которые могут быть использованы для идентификации определенного лица либо связи с ним.
От вас может быть запрошено предоставление вашей персональной информации в любой момент, когда вы связываетесь с нами.
Ниже приведены некоторые примеры типов персональной информации, которую мы можем собирать, и как мы можем использовать такую информацию.
Какую персональную информацию мы собираем:
- Когда вы оставляете заявку на сайте, мы можем собирать различную информацию, включая ваши имя, номер телефона, адрес электронной почты и т.д.
Как мы используем вашу персональную информацию:
- Собираемая нами персональная информация позволяет нам связываться с вами и сообщать об уникальных предложениях, акциях и других мероприятиях и ближайших событиях.
- Время от времени, мы можем использовать вашу персональную информацию для отправки важных уведомлений и сообщений.
- Мы также можем использовать персональную информацию для внутренних целей, таких как проведения аудита, анализа данных и различных исследований в целях улучшения услуг предоставляемых нами и предоставления Вам рекомендаций относительно наших услуг.
- Если вы принимаете участие в розыгрыше призов, конкурсе или сходном стимулирующем мероприятии, мы можем использовать предоставляемую вами информацию для управления такими программами.
Раскрытие информации третьим лицам
Мы не раскрываем полученную от Вас информацию третьим лицам.
Исключения:
- В случае если необходимо — в соответствии с законом, судебным порядком, в судебном разбирательстве, и/или на основании публичных запросов или запросов от государственных органов на территории РФ — раскрыть вашу персональную информацию. Мы также можем раскрывать информацию о вас если мы определим, что такое раскрытие необходимо или уместно в целях безопасности, поддержания правопорядка, или иных общественно важных случаях.
- В случае реорганизации, слияния или продажи мы можем передать собираемую нами персональную информацию соответствующему третьему лицу – правопреемнику.
Защита персональной информации
Мы предпринимаем меры предосторожности — включая административные, технические и физические — для защиты вашей персональной информации от утраты, кражи, и недобросовестного использования, а также от несанкционированного доступа, раскрытия, изменения и уничтожения.
Соблюдение вашей конфиденциальности на уровне компании
Для того чтобы убедиться, что ваша персональная информация находится в безопасности, мы доводим нормы соблюдения конфиденциальности и безопасности до наших сотрудников, и строго следим за исполнением мер соблюдения конфиденциальности.
Как известно, при перемножении выражений со степенями их показатели всегда складываются (a b *a c = a b+c). Этот математический закон был выведен Архимедом, а позже, в VIII веке, математик Вирасен создал таблицу целых показателей. Именно они послужили для дальнейшего открытия логарифмов. Примеры использования этой функции можно встретить практически везде, где требуется упростить громоздкое умножение на простое сложение. Если вы потратите минут 10 на прочтение этой статьи, мы вам объясним, что такое логарифмы и как с ними работать. Простым и доступным языком.
Определение в математике
Логарифмом называется выражение следующего вида: log a b=c, то есть логарифмом любого неотрицательного числа (то есть любого положительного) «b» по его основанию «a» считается степень «c», в которую необходимо возвести основание «a», чтобы в итоге получить значение «b». Разберем логарифм на примерах, допустим, есть выражение log 2 8. Как найти ответ? Очень просто, нужно найти такую степень, чтобы из 2 в искомой степени получить 8. Проделав в уме некоторые расчеты, получаем число 3! И верно, ведь 2 в степени 3 дает в ответе число 8.
Разновидности логарифмов
Для многих учеников и студентов эта тема кажется сложной и непонятной, однако на самом деле логарифмы не так страшны, главное — понять общий их смысл и запомнить их свойста и некоторые правила. Существует три отдельных вида логарифмических выражений:
- Натуральный логарифм ln a, где основанием является число Эйлера (e = 2,7).
- Десятичный a, где основанием служит число 10.
- Логарифм любого числа b по основанию a>1.
Каждый из них решается стандартным способом, включающим в себя упрощение, сокращение и последующее приведение к одному логарифму с помощью логарифмических теорем. Для получения верных значений логарифмов следует запомнить их свойства и очередность действий при их решениях.
Правила и некоторые ограничения
В математике существует несколько правил-ограничений, которые принимаются как аксиома, то есть не подлежат обсуждению и являются истиной. Например, нельзя числа делить на ноль, а еще невозможно извлечь корень четной степени из отрицательных чисел. Логарифмы также имеют свои правила, следуя которым можно с легкостью научиться работать даже с длинными и емкими логарифмическими выражениями:
- основание «a» всегда должно быть больше нуля, и при этом не быть равным 1, иначе выражение потеряет свой смысл, ведь «1» и «0» в любой степени всегда равны своим значениям;
- если а > 0, то и а b >0, получается, что и «с» должно быть больше нуля.
Как решать логарифмы?
К примеру, дано задание найти ответ уравнения 10 х = 100. Это очень легко, нужно подобрать такую степень, возведя в которую число десять, мы получим 100. Это, конечно же, 10 2 =100.
А теперь давайте представим данное выражение в виде логарифмического. Получим log 10 100 = 2. При решении логарифмов все действия практически сходятся к тому, чтобы найти ту степень, в которую необходимо ввести основание логарифма, чтобы получить заданное число.
Для безошибочного определения значенияя неизвестной степени необходимо научиться работать с таблицей степеней. Выглядит она следующим образом:
Как видите, некоторые показатели степени можно угадать интуитивно, если имеется технический склад ума и знание таблицы умножения. Однако для больших значений потребуется таблица степеней. Ею могут пользоваться даже те, кто совсем ничего не смыслит в сложных математических темах. В левом столбце указаны числа (основание a), верхний ряд чисел — это значение степени c, в которую возводится число a. На пересечении в ячейках определены значения чисел, являющиеся ответом (a c =b). Возьмем, к примеру, самую первую ячейку с числом 10 и возведем ее в квадрат, получим значение 100, которое указано на пересечении двух наших ячеек. Все так просто и легко, что поймет даже самый настоящий гуманитарий!
Уравнения и неравенства
Получается, что при определенных условиях показатель степени — это и есть логарифм. Следовательно, любые математические численные выражения можно записать в виде логарифмического равенства. Например, 3 4 =81 можно записать в виде логарифма числа 81 по основанию 3, равному четырем (log 3 81 = 4). Для отрицательных степеней правила такие же: 2 -5 = 1/32 запишем в виде логарифма, получим log 2 (1/32) = -5. Одной из самых увлекательных разделов математики является тема «логарифмы». Примеры и решения уравнений мы рассмотрим чуть ниже, сразу же после изучения их свойств. А сейчас давайте разберем, как выглядят неравенства и как их отличить от уравнений.
Дано выражение следующего вида: log 2 (x-1) > 3 — оно является логарифмическим неравенством, так как неизвестное значение «х» находится под знаком логарифма. А также в выражении сравниваются две величины: логарифм искомого числа по основанию два больше, чем число три.
Самое главное отличие между логарифмическими уравнениями и неравенствами заключается в том, что уравнения с логарифмами (пример — логарифм 2 x = √9) подразумевают в ответе одно или несколько определенных числовых значений, тогда как при решении неравенства определяются как область допустимых значений, так и точки разрыва этой функции. Как следствие, в ответе получается не простое множество отдельных чисел как в ответе уравнения, а а непрерывный ряд или набор чисел.
Основные теоремы о логарифмах
При решении примитивных заданий по нахождению значений логарифма, его свойства можно и не знать. Однако когда речь заходит о логарифмических уравнениях или неравенствах, в первую очередь, необходимо четко понимать и применять на практике все основные свойства логарифмов. С примерами уравнений мы познакомимся позже, давайте сначала разберем каждое свойство более подробно.
- Основное тождество выглядит так: а logaB =B. Оно применяется только при условии, когда а больше 0, не равно единице и B больше нуля.
- Логарифм произведения можно представить в следующей формуле: log d (s 1 *s 2) = log d s 1 + log d s 2. При этом обязательным условием является: d, s 1 и s 2 > 0; а≠1. Можно привести доказательство для этой формулы логарифмов, с примерами и решением. Пусть log a s 1 = f 1 и log a s 2 = f 2 , тогда a f1 = s 1 , a f2 = s 2. Получаем, что s 1 *s 2 = a f1 *a f2 = a f1+f2 (свойства степеней), а далее по определению: log a (s 1 *s 2)= f 1 + f 2 = log a s1 + log a s 2, что и требовалось доказать.
- Логарифм частного выглядит так: log a (s 1/ s 2) = log a s 1 — log a s 2.
- Теорема в виде формулы приобретает следующий вид: log a q b n = n/q log a b.
Называется эта формула «свойством степени логарифма». Она напоминает собой свойства обычных степеней, и неудивительно, ведь вся математика держится на закономерных постулатах. Давайте посмотрим на доказательство.
Пусть log a b = t, получается a t =b. Если возвести обе части в степень m: a tn = b n ;
но так как a tn = (a q) nt/q = b n , следовательно log a q b n = (n*t)/t, тогда log a q b n = n/q log a b. Теорема доказана.
Примеры задач и неравенств
Самые распространенные типы задач на тему логарифмов — примеры уравнений и неравенств. Они встречаются практически во всех задачниках, а также входят в обязательную часть экзаменов по математике. Для поступления в университет или сдачи вступительных испытаний по математике необходимо знать, как правильно решать подобные задания.
К сожалению, единого плана или схемы по решению и определению неизвестного значения логарифма не существует, однако к каждому математическому неравенству или логарифмическому уравнению можно применить определенные правила. Прежде всего следует выяснить, можно ли упростить выражение или привести к общему виду. Упрощать длинные логарифмические выражения можно, если правильно использовать их свойства. Давайте скорее с ними познакомимся.
При решении же логарифмических уравнений, следует определить, какой перед нами вид логарифма: пример выражения может содержать натуральный логарифм или же десятичный.
Вот примеры ln100, ln1026. Их решение сводится к тому, что нужно определить ту степень, в которой основание 10 будет равно 100 и 1026 соответственно. Для решений же натуральных логарифмов нужно применить логарифмические тождества или же их свойства. Давайте на примерах рассмотрим решение логарифмических задач разного типа.
Как использовать формулы логарифмов: с примерами и решениями
Итак, рассмотрим примеры использования основных теорем о логарифмах.
- Свойство логарифма произведения можно применять в заданиях, где необходимо разложить большое значение числа b на более простые сомножители. Например, log 2 4 + log 2 128 = log 2 (4*128) = log 2 512. Ответ равен 9.
- log 4 8 = log 2 2 2 3 = 3/2 log 2 2 = 1,5 — как видите, применяя четвертое свойство степени логарифма, удалось решить на первый взгляд сложное и нерешаемое выражение. Необходимо всего лишь разложить основание на множители и затем вынести значения степени из знака логарифма.
Задания из ЕГЭ
Логарифмы часто встречаются на вступительных экзаменах, особенно много логарифмических задач в ЕГЭ (государственный экзамен для всех выпускников школ). Обычно эти задания присутствуют не только в части А (самая легкая тестовая часть экзамена), но и в части С (самые сложные и объемные задания). Экзамен подразумевает точное и идеальное знание темы «Натуральные логарифмы».
Примеры и решения задач взяты из официальных вариантов ЕГЭ. Давайте посмотрим, как решаются такие задания.
Дано log 2 (2x-1) = 4. Решение:
перепишем выражение, немного его упростив log 2 (2x-1) = 2 2 , по определению логарифма получим, что 2x-1 = 2 4 , следовательно 2x = 17; x = 8,5.
- Все логарифмы лучше всего приводить к одному основанию, чтобы решение не было громоздким и запутанным.
- Все выражение, стоящие под знаком логарифма, указываются как положительные, поэтому при вынесении множителем показателя степени выражения, который стоит под знаком логарифма и в качестве его основания, остающееся под логарифмом выражение должно быть положительно.








